ВНЕШБАЛЛИСТИКА. ЧАСТЬ 3
Предыдущие статьи:
ВНЕШБАЛЛИСТИКА. ЧАСТЬ 1
ВНЕШБАЛЛИСТИКА. ЧАСТЬ 2
Если форма снаряда отличается от сферической, то в этом случае центр массы и центр сопротивления (точка, к которой приложена сила сопротивления воздуха) не совпадают, и сила сопротивления воздуха будет создавать момент.
В зависимости от взаимного положения центра массы и центра сопротивления момент силы сопротивления будет либо опрокидывать снаряд, либо, наоборот, стабилизировать его на траектории.
Если центр массы расположен впереди центра сопротивления, то сила сопротивления воздуха будет создавать момент, стабилизирующий снаряд на траектории.

Рис. 1. Действие сил и моментов на пулю, стабилизируемую по «принципу стрелы». Ц. м. – центр массы пули; Ц. с. – центр сопротивления пули (точка приложения силы давления набегающего потока воздуха); qg – сила веса пули; R – сила сопротивления воздуха; M – момент силы сопротивления стабилизирует пулю на траектории.
По такому принципу стабилизируются пули Бреннеке, Гуаланди и многие другие пули, используемые для стрельбы из гладких стволов.
Эти пули имеют длинный хвостовик, используемый также для снижения инерционной нагрузки на пулю (выполняет функцию амортизатора, а также обтюратора). В современных конструкциях пуль этот элемент делается из полиэтилена; в старых конструкциях – использовался набор войлочных пыжей.

Рис. 2. Пуля Бреннеке классической конструкции (с войлочным поддоном).

Рис. 3. Пули для гладких стволов современных конструкций, с полиэтиленовыми стабилизаторами. 1 слева – пуля Бреннеке Emerald, 1 справа – пуля Гуаланди. (обозначение файла Бреннеке_Гуаланди)
Когда центр сопротивления находится ближе к головной части, чем центр массы, то возникающий момент силы будет опрокидывать снаряд.

Рис. 4. Действие сил и моментов на пулю, стабилизируемую вращением. Ц. м. – центр массы пули; Ц. с. – центр сопротивления пули (точка приложения силы давления набегающего потока воздуха); qg – сила веса пули; R – сила сопротивления воздуха; M – момент силы сопротивления опрокидывает пулю.
В этом случае снаряд стабилизируют за счет придания ему вращения с большой скоростью относительно продольной оси. При этом возникает физический эффект, который называют гироскопическим эффектом.
При возникновении опрокидывающего момента ось вращающегося тела отклоняется относительно первоначального положения, но при этом не теряет устойчивости. Появляется ещё одно вращательное движение – покачивание тела относительно оси, перпендикулярной продольной оси: нутационное движение. Кроме того, плоскость, в которой происходит нутационное движение, тоже перемещается в угловом направлении. Вращательное движение тела, имеющего одну неподвижную точку, изучал Леонард Эйлер. Он дал названия этим движениям: собственное вращение, нутация и прецессия. Соответственно и углы получили наименования углов Эйлера.

Рис. 5. Углы Эйлера для летящей пули.
Вращение снаряду придают за счет нарезов – винтовых канавок в канале ствола, взаимодействующих с ведущей частью. Скорость углового вращения определяется масс-инерционными характеристиками снаряда – моментами инерции относительно продольной оси (полярным) и относительно поперечной оси, проходящей через центр массы (экваториальный). В момент инерции входит и масса вращающегося тела, и его поперечные размеры (относительно оси вращения). Чем больше отношение экваториального момента инерции к осевому (которое возрастает с увеличением длины пули), чем больше расстояние между центром массы и центром сопротивления, тем выше должна быть скорость вращения.
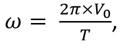
Угловая скорость вращения зависит от начальной скорости пули и шага нареза. Она определяется следующей зависимостью:

Где ω – угловая скорость в рад/с,
V0 – начальная скорость, м/с
T – шаг нареза, м.
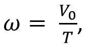
1 радиан – единица измерения углов; 360° соответствует 2π радианов. То есть, если перевести радианы в обороты, то угловая скорость собственного вращения будет определяться как

где угловая скорость будет измеряться в оборотах/с.
В таблице приведены шаги нарезов и угловые скорости вращения для пуль с разными масс-инерционными характеристиками (массой и отношением l/d – длины пули к диаметру).
Из таблицы видно, что скорость вращения пули тем выше, чем больше отношение длины пули к её диаметру. Любопытна история с изменением шага нарезов у винтовки СВД.
Изначально был установлен шаг нареза 320 мм: аналогичный тому, который был на целевых винтовках серии «Зенит». В 1974 году в номенклатуру патронов к СВД был включен патрон с пристрелочно-зажигательной пулей (57-ЗП-323). Эта пуля была тяжелее и длиннее, чем пуля к стандартному патрону (57-Н-323С), и кучность патроном 57-ЗП-323 стала намного хуже: он был отработан под шаг нареза 240 мм. Поэтому с 1974 г. СВД выпускалась с шагом нареза 240 мм.
Шаги нарезов и скорости вращения пуль для наиболее распространенных отечественных образцов стрелкового оружия

Следует отметить, что у стрелков выработалось эмпирическое правило: угловая скорость вращения должна быть наименьшей, обеспечивающей устойчивость пули на траектории. То есть, шаг нареза должен быть по возможности максимально большим. При большой угловой скорости вращения возникают большие центробежные силы инерции, и при дисбалансе пули (а он всегда имеет место в той или иной степени) они ведут к увеличению рассеивания. С переходом на уменьшенный шаг нареза кучность СВД штатным патроном ухудшилась на 15%.
И вот ещё один пример: изменение шага нареза у американской винтовки М16.
Изначально был установлен шаг нареза 356 мм (14 дюймов) для пули весом 55 гранов (3,56 г), при это угловая скорость вращения составляла 2782 об/с.
Такая скорость вращения обеспечивала устойчивость пули на нижнем пределе. Опыт боевых действий в джунглях Вьетнама показал, что при этом пули часто рикошетируют. Шаг был уменьшен до 305 мм (12 дюймов), при этом скорость вращения возросла до 3245 об/с.
При стандартизации калибра 5, 56 мм в рамках НАТО была принята бельгийская концепция – с тяжелой пулей весом 62,5 грана (4, 05 г). Для стабилизации этой пули потребовался шаг нареза 178 мм (7 дюймов); скорость вращения при этом – 5171 об/с.
В Таблицах размеров патронов и патронников (TDCC) Постоянной Международной Комиссии по испытаниям огнестрельного оружия, боеприпасов и устройств промышленного назначения (CIP) для патрона .223 Remington указан рекомендованный шаг нареза – 305 мм. Производители оружия в настоящее время всё чаще используют шаги 203 – 229 мм (8 – 9 дюймов), что связано с ростом популярности вариантов снаряжения с тяжелыми пулями 62 – 75 гранов (4,02 – 4,86 г).
Требуемой скорости вращения можно добиться и за счет начальной скорости. Таким приемом (варьированием навески метательного заряда) пользуются стрелки-варминтеры. При этом приходится ещё принимать во внимание то, что с увеличением начальной скорости возрастает и нагрузка на ствол и ствольную коробку, возрастает амплитуда колебаний. Поэтому у варминтеров существует такое понятие: «заряд, обеспечивающий максимальную кучность стрельбы».
Нутационное движение пули возникает за счет взаимодействия силы тяжести и силы сопротивления воздуха. Максимум нутации – на начальном участке траектории, там угол нутации может достигать до 15°. По мере движения по траектории нутационные колебания гасятся из-за трения о воздушную среду, и примерно к 100 м (для малых и нормальных калибров) они затухают. На близких расстояниях от дульного среза будут даже овальные пробоины. Наличие овальных пробоин (50% и более) по армейским наставлениям по ремонту является признаком исчерпания ресурса ствола. Но надо подчеркнуть, что этот критерий корректен для дистанции стрельбы не менее 100 м. На малых дистанциях (порядка 25 м) овальные пробоины будут и на новом стволе. И следует также заметить, что для таких патронов, как например, .338 Lapua Magnum, существенное нутационное движение продолжается и на дистанции 100 м. Поэтому пользователям не следует делать скоропалительные выводы об устойчивости пули по результатам отстрела на малых дальностях.

Рис. 6. На начальном участке траектории пуля совершает значительные нутационные колебания. Большая ось пробоины связана с углом нутации; изменение ориентации большой оси указывает на прецессионное движение.

Рис. 7. На дистанции от 100 м и более нутационные колебания затухают. На фото пробоины крестиками обозначены положения осей вершинки пули и донца пули. Угол нутации составляет приблизительно 2,2°.
Предыдущие статьи:
ВНЕШБАЛЛИСТИКА. ЧАСТЬ 1
ВНЕШБАЛЛИСТИКА. ЧАСТЬ 2